来源:弹簧百科 发布时间:2021-11-01 20:38:24
弹簧的变形能 不锈钢弹簧生产厂家
当设计缓冲或隔振弹簧时,弹簧的变形能,也就是在受载荷后所能吸收和积蓄的能量,应该进行计算。

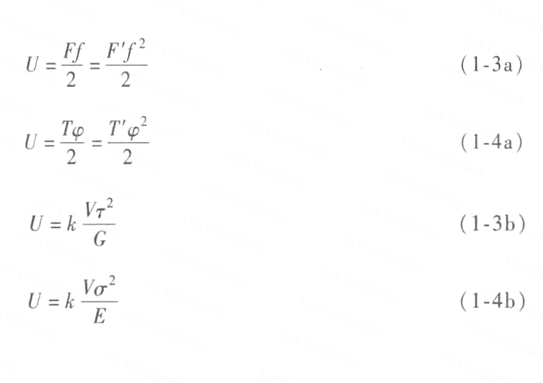
如图1-4 所示载荷变形图,其变形能对拉伸、压缩弹簧和扭转弹簧为图中所式:

就是图中划垂直线阴影部的面积。

当特性线为直线时,则如图(1-3a)(1-4a)
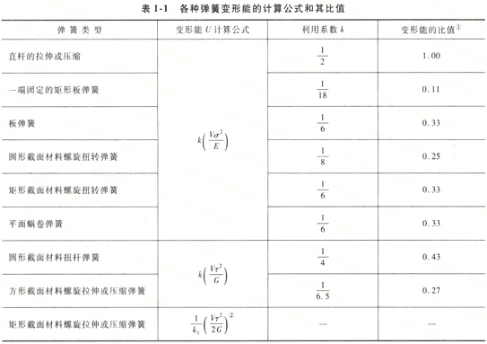
另外,变形能的另一表示形式为最大工作应力T或σ和弹簧材料体积V的方程,即如式(1-3b)或(1-4b)。
式中
G——弹簧材料的切变模量;
E——-弹簧材料的弹性模量;
k———比例系数,对不同类型的弹簧有不同的值。它标志着材料的利用程度,所以也称为利用系数,其值见表1-1。

各种类型弹簧变形能的计算公式见表1-1。
从式中可以看出,变形能与模量G和 E 成反比,因此,低的模量对于要求大的变形能有利。同样,正如以后从弹簧刚度计算式中可以看到的那样,低的模量对弹簧刚度也有利。又变形能的大小与最大工作应力的平方成正比,增大应力就意味着要求材料有高的弹性极限,高的弹性极限也对应着高的模量。但应力是以平方形式出现的,所以在选择材料时,它起决定性作用。
在设计弹簧时,为了得到大的变形能,从方程式中看出,可提高弹簧材料的体积或者应力,或者两者同时提高。